一個完整的基于
CTI技術的
呼叫中心解決方案通常由以下幾部分組成:電話接入設備、
IVR、
ACD、CTI服務器、錄音設備、
CRM(Customer Relationship Management,客戶關系管理)、數據庫服務器、普通人工坐席及相關網絡設備等。其中,IVR、ACD、CTI服務器這幾個部分是呼叫中心的核心。這里分將分別介紹ACD、CTI、IVR、錄音技術原理及協議。
在
呼叫中心系統中,ACD是接入用戶來電的第一步,根據一定的分配算法計算出用戶應該被分配的處理人員,使接線員能夠更加有針對性地服務,同時客戶能夠快速獲得幫助。IVR是呼叫中心接入用戶后,提供的自動應答語音導航,用戶可以自助地解決某些簡單問題,并為企業節省人力。CTI服務器提供了交換機和計算機互通的網絡接口,能夠方便快捷地進行數據傳輸,使坐席人員在接聽來電時能夠實時讀取用戶的個人信息,為用戶提供更好的服務。坐席是直接為用戶提供服務的人員。在呼叫中心系統中,坐席人員掌握著具體的服務信息和簡單的解決方案,因此他們是企業營銷的關鍵。業務處理信息和用戶的資料數據存儲在數據庫服務器中,數據中心的處理能力也是企業服務的關鍵性因素之一。
傳統呼叫中心的實現有兩種典型方案,分別是基于交換機技術和基于語音板卡技術。兩種方案適用于不同規模的呼叫中心建設。語音卡方案的基本思想是在微機平臺上集成各種功能的語音處理卡,完成通信接口、語音處理、傳真處理、坐席轉接等功能,再結合外部的計算機網絡滿足各種應用系統的需求。用戶級交換機式呼叫中心比板卡式呼叫中心在處理能力和穩定性等方面有較大的提高,以局用程控交換機為基礎發展起來的呼叫中心平臺接入設備,在處理能力和穩定性等方面又比用戶級交換機式呼叫中心更強。
建立呼叫中心必須考慮系統的穩定性、引入新業務的靈活性以及系統功能的可擴展性。根據這些要求,采用分層設計的思想,可將呼叫中心系統的實現模型分為以下4層:接入層、流程控制層、業務處理層、資源層。如圖:

接入層主要負責提供呼叫建立、主叫號碼獲取、語音錄制、語音播放、讀取用戶按鍵輸入、呼叫轉移、掛斷檢測等以及呼叫控制和語音卡底層相關的解決方案。接入層充分利用CTI技術,使得在同一時刻集中用戶、合適的服務者及關聯的關鍵數據成為可能。流程控制層主要負責定義呼叫中心的流程,也就是用戶接入后如何進行查詢獲取信息資源的過程。業務處理層主要負責根據實際應用的需要,在接入層和流程控制層的基礎上,加載相應的業務模塊實現所需功能和系統業務的擴展。資源層主要包括與業務處理層相關的語音文件、具體業務數據庫中的數據、呼叫日志記錄,主要根據業務處理層的要求,將相關的用戶數據、具體業務數據庫中的數據組織到一起后,及時返回給業務處理層使用,資源層主要解決了信息數據復雜的問題。分層設計的目的是希望在所設計的通用程序架構中可以對呼叫流程控制進行動態配置,進而僅需通過增、減、修改業務處理層上的業務模塊以及對資源層上的語音文件進行編輯,便可以實現不同行業的呼叫中心以及適應同一呼叫中心不同業務的動態變化。傳統呼叫中心的業務流程如下。
①呼叫進入交換機。
②用戶級交換機(Private Branch Exchange,PBX)應答,捕獲主叫號。
③播放語音菜單,呼叫人根據菜單提示選擇。
④主叫選擇自動應答,則繼續播放語音菜單。
⑤主叫選擇人工應答轉PBX。
⑤主叫選擇人工應答轉PBX。
⑥PBX尋找空閑的路由,并把呼叫轉移到相應線路。
⑦通過網絡發送初始呼叫信息給坐席。
⑧ 坐席計算機顯示用戶來電信息,使坐席人員對來電用戶有預先了解。
⑨坐席人員接通電話。
⑩呼叫方、坐席任何一方掛機,PBX將中斷呼叫。
坐席等待下一次呼叫。
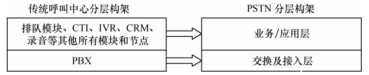
傳統呼叫中心技術的大部分節點,對應的是PSTN(Public Switched Telephone Network,公共交換電話網絡)的業務/應用層,如IVR、排隊模塊、CTI服務器、錄音等模塊和節點,而傳統的交換機設備,即PBX,對應的是交換及接入層。傳統呼叫中心與PSTN分層的對應關系如圖:

由該對應關系可以看出,呼叫中心是電信網絡的增值業務之一,它主要位于業務/應用層面,利用了電信網絡基本的通信能力。