目錄
- 一、準備
- 二、三次樣條插值
- 三、最小二乘擬合
- 四、拉格朗日乘子法
一、準備
噪聲是在擬合過程中常用的干擾手段,常用的噪聲:
1.統一分布 U(a,b)
f ( x ) = { 1 i f a ≤ x b 0 o t h e r f(x)=\begin{cases}\begin{aligned}1\quad if\quad a\le xb \\ 0\quad other\end{aligned}\end{cases} f(x)={10ifa≤xbother
import numpy as np
x=np.random.uniform(a,b,100) #產生長度為100的U(a,b)
2.正態分布N( μ \mu μ, σ 2 \sigma^2 σ2)
import numpy as np
x=np.random.normal(mu, sig, 100) #產生長度為100的N(mu, sqart(sig))
二、三次樣條插值
def spline_fit():
size = 20
x = np.linspace(-10, 10, size)
y = np.sin(x) + np.random.normal(0, 0.1, size)
y2 = [0] * len(y)
# for y_i in y:
pp.plot(x, y)
cs = CubicSpline(x, y)
x2 = x = np.linspace(-10, 10, size * 100)
pp.plot(x2, cs(x2))
pp.show()
三、最小二乘擬合
def least_square():
f = lambda p0, xx: p0[0] * np.sin(xx * p0[1]) + p0[2]
LEN = 100
x = np.linspace(-1, 1, LEN)
y = x ** 2 + 5
# 默認情況,param只會返回求得的參數和返回的錯誤碼,1-4為成功,5-8為失敗,如果想輸出更多參數,可以指定full_out=1,可以看到出錯原因和其他參數
param = leastsq(lambda p0, xx, yy: f(p0, xx) - yy, (1, 1, 1), args=(x, y)) #初值的選擇比較重要,如果選取不當,容易陷入局部最優
print(param)
pp.scatter(x, y)
p0 = param[0]
pp.plot(x, f(p0, x))
pp.show()
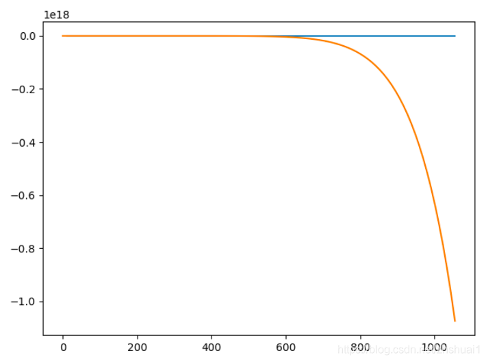
最小二乘的初值選取非常重要,以下是三份完全相同的數據,雖然最后都收斂了,但是初值不同,得到了完全不同的擬合結果
初值為 ( 1 , 2 , 1 ) (1,2,1) (1,2,1)

初值為 ( 1 , 1 , 1 ) (1,1,1) (1,1,1)

初值為 ( 10 , 10 , 1 ) (10,10,1) (10,10,1)

四、拉格朗日乘子法
def lagrange()
from scipy.optimize import minimize
import numpy as np
e = 1e-10
fun = lambda x: 8 * (x[0] * x[1] * x[2]) # f(x,y,z) =8 *x*y*z
cons = ({'type': 'eq', 'fun': lambda x: x[0] ** 2 + x[1] ** 2 + x[2] ** 2 - 1}, # x^2 + y^2 + z^2=1
{'type': 'ineq', 'fun': lambda x: x[0] - e}, # x>=e等價于 x > 0
{'type': 'ineq', 'fun': lambda x: x[1] - e},
{'type': 'ineq', 'fun': lambda x: x[2] - e}
)
x0 = np.array((1.0, 1.0, 1.0)) # 設置初始值
res = minimize(fun, x0, method='SLSQP', constraints=cons)
print('最大值:', res.fun)
print('最優解:', res.x)
print('迭代終止是否成功:', res.success)
print('迭代終止原因:', res.message)
到此這篇關于教你如何利用python進行數值分析的文章就介紹到這了,更多相關python數值分析內容請搜索腳本之家以前的文章或繼續瀏覽下面的相關文章希望大家以后多多支持腳本之家!
您可能感興趣的文章:- python實現各種插值法(數值分析)
- python實現數值積分的Simpson方法實例分析
- python 解決微分方程的操作(數值解法)
- Python導入數值型Excel數據并生成矩陣操作
- Python實現列表中非負數保留,負數轉化為指定的數值方式
- 使用Python matplotlib作圖時,設置橫縱坐標軸數值以百分比(%)顯示
- Python如何將函數值賦給變量