目錄
- tensorflow是非常強的工具,生態龐大
- tensorflow提供了Keras的分支
- Define tensor constants.
- Linear Regression
- 分類模型
- 本例使用MNIST手寫數字
- Model prediction: 7
- Model prediction: 2
- Model prediction: 1
- Model prediction: 0
- Model prediction: 4
TF 目前發布2.5 版本,之前閱讀1.X官方文檔,最近查看2.X的文檔。
tensorflow是非常強的工具,生態龐大

tensorflow提供了Keras的分支
這里不再提供Keras相關順序模型教程。
關于環境:ubuntu的 GPU,需要cuda和nvcc


不會安裝:查看
完整的Ubuntu18.04深度學習GPU環境配置,英偉達顯卡驅動安裝、cuda9.0安裝、cudnn的安裝、anaconda安裝
不安裝,直接翻墻用colab
測試GPU
>>> from tensorflow.python.client import device_lib
>>> device_lib.list_local_devices()
這是意思是掛了一個顯卡

具體查看官方文檔:https://www.tensorflow.org/install
服務器跑Jupyter
Define tensor constants.
import tensorflow as tf
# Create a Tensor.
hello = tf.constant("hello world")
hello
# Define tensor constants.
a = tf.constant(1)
b = tf.constant(6)
c = tf.constant(9)
# tensor變量的操作
# (+, *, ...)
add = tf.add(a, b)
sub = tf.subtract(a, b)
mul = tf.multiply(a, b)
div = tf.divide(a, b)
# 通過numpy返回數值 和torch一樣
print("add =", add.numpy())
print("sub =", sub.numpy())
print("mul =", mul.numpy())
print("div =", div.numpy())
add = 7
sub = -5
mul = 6
div = 0.16666666666666666
mean = tf.reduce_mean([a, b, c])
sum_ = tf.reduce_sum([a, b, c])
# Access tensors value.
print("mean =", mean.numpy())
print("sum =", sum_ .numpy())
mean = 5
sum = 16
# Matrix multiplications.
matrix1 = tf.constant([[1., 2.], [3., 4.]])
matrix2 = tf.constant([[5., 6.], [7., 8.]])
product = tf.matmul(matrix1, matrix2)
product
tf.Tensor: shape=(2, 2), dtype=float32, numpy=
array([[19., 22.],
[43., 50.]], dtype=float32)>
# Tensor to Numpy.
np_product = product.numpy()
print(type(np_product), np_product)
(numpy.ndarray,
array([[19., 22.],
[43., 50.]], dtype=float32))
Linear Regression
下面使用tensorflow快速構建線性回歸模型,這里不使用kears的順序模型,而是采用torch的模型定義的寫法。
import numpy as np
import tensorflow as tf
# Parameters:
learning_rate = 0.01
training_steps = 1000
display_step = 50
# Training Data.
X = np.array([3.3,4.4,5.5,6.71,6.93,4.168,9.779,6.182,7.59,2.167,7.042,10.791,5.313,7.997,5.654,9.27,3.1])
Y = np.array([1.7,2.76,2.09,3.19,1.694,1.573,3.366,2.596,2.53,1.221,2.827,3.465,1.65,2.904,2.42,2.94,1.3])
random = np.random
# 權重和偏差,隨機初始化。
W = tf.Variable(random.randn(), name="weight")
b = tf.Variable(random.randn(), name="bias")
# Linear regression (Wx + b).
def linear_regression(x):
return W * x + b
# Mean square error.
def mean_square(y_pred, y_true):
return tf.reduce_mean(tf.square(y_pred - y_true))
# 隨機梯度下降優化器。
optimizer = tf.optimizers.SGD(learning_rate)
# 優化過程。
def run_optimization():
# 將計算包在GradientTape中,以便自動區分。
with tf.GradientTape() as g:
pred = linear_regression(X)
loss = mean_square(pred, Y)
# 計算梯度。
gradients = g.gradient(loss, [W, b])
# 按照梯度更新W和b。
optimizer.apply_gradients(zip(gradients, [W, b]))
#按給定的步數進行訓練。
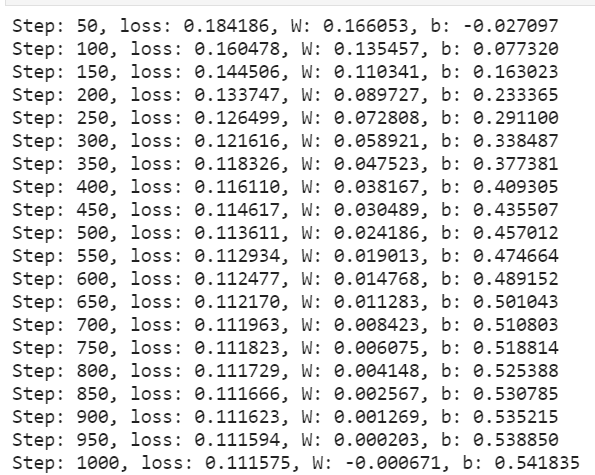
for step in range(1, training_steps + 1):
# 運行優化以更新W和b值。
run_optimization()
if step % display_step == 0:
pred = linear_regression(X)
loss = mean_square(pred, Y)
print("Step: %i, loss: %f, W: %f, b: %f" % (step, loss, W.numpy(), b.numpy()))

import matplotlib.pyplot as plt
plt.plot(X, Y, 'ro', label='Original data')
plt.plot(X, np.array(W * X + b), label='Fitted line')
plt.legend()
plt.show()

分類模型
本例使用MNIST手寫數字
數據集包含60000個訓練示例和10000個測試示例。
這些數字已經過大小標準化,并在一個固定大小的圖像(28x28像素)中居中,值從0到255。
在本例中,每個圖像將轉換為float32,標準化為[0,1],并展平為784個特征(28×28)的一維數組。
import numpy as np
import tensorflow as tf
# MNIST data
num_classes = 10 # 0->9 digits
num_features = 784 # 28 * 28
# Parameters
lr = 0.01
batch_size = 256
display_step = 100
training_steps = 1000
# Prepare MNIST data
from tensorflow.keras.datasets import mnist
(x_train, y_train), (x_test, y_test) = mnist.load_data()
# Convert to Float32
x_train, x_test = np.array(x_train, np.float32), np.array(x_test, np.float32)
# Flatten images into 1-D vector of 784 dimensions (28 * 28)
x_train, x_test = x_train.reshape([-1, num_features]), x_test.reshape([-1, num_features])
# [0, 255] to [0, 1]
x_train, x_test = x_train / 255, x_test / 255
# 打亂順序: tf.data API to shuffle and batch data
train_dataset = tf.data.Dataset.from_tensor_slices((x_train, y_train))
train_dataset = train_dataset.repeat().shuffle(5000).batch(batch_size=batch_size).prefetch(1)
# Weight of shape [784, 10] ~= [number_features, number_classes]
W = tf.Variable(tf.ones([num_features, num_classes]), name='weight')
# Bias of shape [10] ~= [number_classes]
b = tf.Variable(tf.zeros([num_classes]), name='bias')
# Logistic regression: W*x + b
def logistic_regression(x):
# 應用softmax函數將logit標準化為概率分布
out = tf.nn.softmax(tf.matmul(x, W) + b)
return out
# 交叉熵損失函數
def cross_entropy(y_pred, y_true):
# 將標簽編碼為一個one_hot向量
y_true = tf.one_hot(y_true, depth=num_classes)
# 剪裁預測值避免錯誤
y_pred = tf.clip_by_value(y_pred, 1e-9, 1)
# 計算交叉熵
cross_entropy = tf.reduce_mean(-tf.reduce_sum(y_true * tf.math.log(y_pred), 1))
return cross_entropy
# Accuracy
def accuracy(y_pred, y_true):
correct = tf.equal(tf.argmax(y_pred, 1), tf.cast(y_true, tf.int64))
return tf.reduce_mean(tf.cast(correct, tf.float32))
# 隨機梯度下降優化器
optimizer = tf.optimizers.SGD(lr)
# Optimization
def run_optimization(x, y):
with tf.GradientTape() as g:
pred = logistic_regression(x)
loss = cross_entropy(y_pred=pred, y_true=y)
gradients = g.gradient(loss, [W, b])
optimizer.apply_gradients(zip(gradients, [W, b]))
# Training
for step, (batch_x, batch_y) in enumerate(train_dataset.take(training_steps), 1):
# Run the optimization to update W and b
run_optimization(x=batch_x, y=batch_y)
if step % display_step == 0:
pred = logistic_regression(batch_x)
loss = cross_entropy(y_pred=pred, y_true=batch_y)
acc = accuracy(y_pred=pred, y_true=batch_y)
print("Step: %i, loss: %f, accuracy: %f" % (step, loss, acc))

pred = logistic_regression(x_test)
print(f"Test Accuracy: {accuracy(pred, y_test)}")
Test Accuracy: 0.892300009727478
import matplotlib.pyplot as plt
n_images = 5
test_images = x_test[:n_images]
predictions = logistic_regression(test_images)
# 預測前5張
for i in range(n_images):
plt.imshow(np.reshape(test_images[i], [28, 28]), cmap='gray')
plt.show()
print("Model prediction: %i" % np.argmax(predictions.numpy()[i]))

Model prediction: 7

Model prediction: 2

Model prediction: 1

Model prediction: 0

Model prediction: 4
以上就是tensorflow基本操作小白快速構建線性回歸和分類模型的詳細內容,更多關于tensorflow快速構建線性回歸和分類模型的資料請關注腳本之家其它相關文章!
您可能感興趣的文章:- tensorflow入門之訓練簡單的神經網絡方法
- TensorFlow使用Graph的基本操作的實現
- 詳解tensorflow實現遷移學習實例
- Python深度學習TensorFlow神經網絡基礎概括